Математика – страница 156
При наборе телефонного номера абонент забыл две последние цифры и набрал их наудачу, помня только, что эти цифры нечетные и разные. Тогда вероятность того, что номер набран правильно, равна …
Непрерывная случайная величина
задана функцией распределения вероятностей:

Тогда вероятность
равна …
задана функцией распределения вероятностей:
Тогда вероятность
равна …Полярные координаты точки, симметричной точке
относительно полярной оси, равны …
относительно полярной оси, равны …Система
будет …
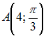
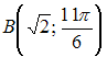
будет …В полярной системе координат даны две смежные вершины квадрата
и
. Тогда длина диагонали квадрата равна …
и
. Тогда длина диагонали квадрата равна …Промежуток убывания функции
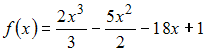
имеет вид …
имеет вид …Точечная оценка математического ожидания нормально распределенного количественного признака равна 0,4. Тогда его интервальная оценка может иметь вид …
Функция
задана в параметрическом виде
Тогда производная первого порядка функции
по переменной
имеет вид …
задана в параметрическом виде
Тогда производная первого порядка функции
по переменной
имеет вид …В электрическую цепь последовательно включены два элемента, работающие независимо друг от друга. Вероятности отказов элементов равны соответственно 0,1 и 0,15. Тогда вероятность того, что тока в цепи не будет, равна …
и
, будет равна …
, перпендикулярно к плоскости
, имеет вид …
,
,
и
лежат в одной плоскости, если параметр
равен …
и 
и 
и 
задана законом распределения вероятностей:
равна …