Математика – страница 154

Общее уравнение плоскости, проходящей через точку Изображение вопроса Общее уравнение плоскости, проходящей через точку ... перпендикулярно прямой Изображение вопроса Общее уравнение плоскости, проходящей через точку ..., имеет вид …


Экзаменационный билет содержит три вопроса. Вероятность того, что студент ответит на первый вопрос, равна 0,7, на второй – 0,9, на третий - 0,6. Тогда вероятность того,  что студент сдаст экзамен, если для этого необходимо ответить, по крайней мере, на два вопроса, равна …

В результате измерений некоторой физической величины одним прибором (без систематических ошибок) получены следующие результаты (в мм): 3,6; 3,8; 4,3. Тогда несмещенная оценка дисперсии равна …

Даны матрицы Изображение вопроса Даны матрицы  и . Тогда решение матричного уравнен... и Изображение вопроса Даны матрицы  и . Тогда решение матричного уравнен.... Тогда решение матричного уравнения Изображение вопроса Даны матрицы  и . Тогда решение матричного уравнен... имеет вид …

Касательная к графику функции Изображение вопроса Касательная к графику функции образует с осью  уго...образует с осью Изображение вопроса Касательная к графику функции образует с осью  уго... угол, равный Изображение вопроса Касательная к графику функции образует с осью  уго..., в точке …

Точечная оценка математического ожидания нормально распределенного количественного признака равна 12,04. Тогда его интервальная оценка с точностью 1,66 имеет вид …

Дана матрица Изображение вопроса Дана матрица . Если матрица  является диагональной.... Если матрица Изображение вопроса Дана матрица . Если матрица  является диагональной... является диагональной, то матрица Изображение вопроса Дана матрица . Если матрица  является диагональной... может иметь вид …

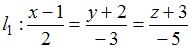
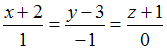
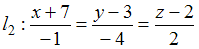
Прямые Изображение вопроса Прямые  и  …... и Изображение вопроса Прямые  и  …... …

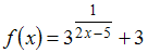
Для функции Изображение вопроса Для функции  точка x = 2,5 является точкой …... точка x = 2,5 является точкой …

В партии из 12 деталей имеется 5 бракованных. Наудачу отобраны три детали. Тогда вероятность того, что среди отобранных деталей нет бракованных, равна …

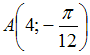
Одна из вершин треугольника находится в полюсе Изображение вопроса Одна из вершин треугольника находится в полюсе , д..., две другие имеют координаты Изображение вопроса Одна из вершин треугольника находится в полюсе , д... и Изображение вопроса Одна из вершин треугольника находится в полюсе , д.... Тогда площадь треугольника Изображение вопроса Одна из вершин треугольника находится в полюсе , д... равна …

Банк выдает 44% всех кредитов юридическим лицам, а 56% – физическим лицам. Вероятность того, что юридическое лицо не погасит в срок кредит, равна 0,2; а для физического лица эта вероятность составляет 0,1. Тогда вероятность того, что очередной кредит будет погашен в срок, равна …

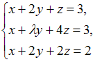
Система Изображение вопроса Система  совместна, если  не равно …... совместна, если Изображение вопроса Система  совместна, если  не равно …... не равно …

15 Угол Изображение вопроса Угол  между прямой   и плоскостью  равен …... между прямой  Изображение вопроса Угол  между прямой   и плоскостью  равен …... и плоскостью Изображение вопроса Угол  между прямой   и плоскостью  равен …... равен …