Математика – страница 146
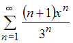
Интервал сходимости степенного ряда
имеет вид …
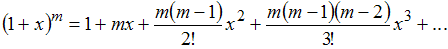
имеет вид …Разложение в ряд Маклорена функции
имеет вид:

Тогда для функции
, коэффициент
разложения данной функции в ряд Маклорена равен …
имеет вид:
Тогда для функции
, коэффициент
разложения данной функции в ряд Маклорена равен …В полярной системе координат кривая
определяет …
определяет …Частное решение дифференциального уравнения
может иметь вид …
может иметь вид …В первой урне 2 белых и 8 черных шаров. Во второй урне 3 черных и 7 белых шаров. Из наудачу взятой урны вытаскивается один шар. Тогда вероятность того, что этот шар черный, равна …
Точка разрыва функции
равна …
равна …
и
. Тогда вектор
имеет координаты …
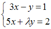
не имеет решений, если
равно …
и
Если
то элемент матрицы
равен …
Тогда матрица
равна …
. Тогда смешанное произведение векторов
равно …
и
равно …
равно …
,
и
, равен …