Математика – страница 144


В электрическую цепь последовательно включены два элемента, работающие независимо друг от друга. Вероятности отказов элементов равны соответственно 0,2 и 0,15. Тогда вероятность того, что ток в цепи будет, равна …



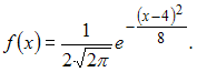
Непрерывная случайная величина Изображение вопроса Непрерывная случайная величина  задана плотностью ... задана плотностью распределения вероятностей Изображение вопроса Непрерывная случайная величина  задана плотностью ... Тогда математическое ожидание a  и среднее квадратическое отклонение Изображение вопроса Непрерывная случайная величина  задана плотностью ... этой случайной величины равны …




В первой урне 3 черных и 7 белых шаров. Во второй урне 4 белых и 6 черных шаров. Из наудачу взятой урны вытаскивается один шар. Тогда вероятность того, что этот шар белый, равна …

Градиент скалярного поля Изображение вопроса Градиент скалярного поля  в точке  равен …... в точке Изображение вопроса Градиент скалярного поля  в точке  равен …... равен …

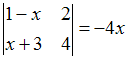
Значение определенного интеграла Изображение вопроса Значение определенного интеграла  принадлежит пром... принадлежит промежутку …

Векторное произведение векторов Изображение вопроса Векторное произведение векторов  и  равно . Тогда ... и Изображение вопроса Векторное произведение векторов  и  равно . Тогда ... равно Изображение вопроса Векторное произведение векторов  и  равно . Тогда .... Тогда вектор Изображение вопроса Векторное произведение векторов  и  равно . Тогда ... будет иметь координаты …

Игральная кость бросается один раз. Тогда вероятность того, что на верхней грани выпадет нечетное число очков, равна …

Сложение матриц Изображение вопроса Сложение матриц  и  возможно, если эти матрицы име... и Изображение вопроса Сложение матриц  и  возможно, если эти матрицы име... возможно, если эти матрицы имеют вид …

Даны точки Изображение вопроса Даны точки ,  и . Тогда вектор  имеет координаты &..., Изображение вопроса Даны точки ,  и . Тогда вектор  имеет координаты &... и Изображение вопроса Даны точки ,  и . Тогда вектор  имеет координаты &.... Тогда вектор Изображение вопроса Даны точки ,  и . Тогда вектор  имеет координаты &... имеет координаты …