Математика – страница 143
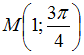
Точка
задана в полярной системе координат, тогда ее прямоугольные координаты равны …
задана в полярной системе координат, тогда ее прямоугольные координаты равны …Имеются три урны, содержащие по 5 белых и 5 черных шаров, и семь урн, содержащих по 6 белых и 4 черных шара. Из наудачу взятой урны вытаскивается один шар. Тогда вероятность того, что этот шар белый, равна …
В результате многолетних наблюдений в некоторой местности установлено, что вероятность выпадения дождя в течение суток равна 1/3. Кроме того, замечено, что если в какой-то день дождь шел, то с вероятностью 3/4 он будет идти и на следующий день.
Если событие А – сегодня дождя не было, событие В – завтра будет дождь, а событие
– условная вероятность события В, при условии, что событие А произошло, то верным является соотношение …
Если событие А – сегодня дождя не было, событие В – завтра будет дождь, а событие
– условная вероятность события В, при условии, что событие А произошло, то верным является соотношение …В результате многолетних наблюдений в некоторой местности установлено, что вероятность выпадения дождя в течение суток равна 1/3. Кроме того, замечено, что если в какой-то день дождь шел, то с вероятностью 3/4 он будет идти и на следующий день.
Пусть
– вероятность того, что завтра будет ясно, если сегодня дождя не было. Тогда значение выражения
равно …
Пусть
– вероятность того, что завтра будет ясно, если сегодня дождя не было. Тогда значение выражения
равно …Даны два вектора:
и
, где
,
, угол между векторами
и
равен
. Тогда площадь параллелограмма, построенного на векторах
и
, будет равна …
и
, где
,
, угол между векторами
и
равен
. Тогда площадь параллелограмма, построенного на векторах
и
, будет равна …Наклонная асимптота графика функции
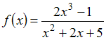
задается уравнением вида …
задается уравнением вида …Функция
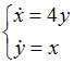
задана в параметрическом виде 
Тогда производная первого порядка функции
по переменной
имеет вид …
задана в параметрическом виде 
Тогда производная первого порядка функции
по переменной
имеет вид …Из генеральной совокупности извлечена выборка объема
, гистограмма относительных частот которой имеет вид

Тогда значение a равно …
, гистограмма относительных частот которой имеет вид
Тогда значение a равно …
Дискретная случайная величина X задана законом распределения вероятностей:

Тогда ее математическое ожидание равно …

Тогда ее математическое ожидание равно …
В ортонормированном базисе заданы вектора
и
. Эти векторы будут взаимно перпендикулярны, если значение параметра
равно …
и
. Эти векторы будут взаимно перпендикулярны, если значение параметра
равно …
на отрезке
равно …
,
, имеет вид …
,
и
равен …
на отрезке
равно …
Если
то матрица
равна …