Математика – страница 142
При построении выборочного уравнения парной регрессии вычислены выборочный коэффициент корреляции
и выборочные средние квадратические отклонения
. Тогда выборочный коэффициент регрессии Y на X равен …
и выборочные средние квадратические отклонения
. Тогда выборочный коэффициент регрессии Y на X равен …В первой урне 5 черных и 6 белых шаров. Во второй урне 3 белых шара и 6 черных шаров. Из первой урны переложили один шар во вторую урну. Тогда вероятность того, что шар, вынутый наудачу из второй урны, будет черным, равна …
Для уборки снега на улицах города используются снегоуборочные машины. Они работают в течение светлого времени суток с 8 до 18 часов
с постоянной скоростью уборки снега 200 
Изменение объема снега, выпадающего на улицы города в городе в течение суток, можно описать уравнением
где
– объем снега (в
), выпавшего за время
(в часах), 
В момент времени
на улицах города лежит 500
снега.
Пусть
– объем снега, лежащего на улицах города в момент времени
, тогда математическая модель для нахождения
может иметь вид …
с постоянной скоростью уборки снега 200 
Изменение объема снега, выпадающего на улицы города в городе в течение суток, можно описать уравнением
где
– объем снега (в
), выпавшего за время
(в часах), 
В момент времени
на улицах города лежит 500
снега.Пусть
– объем снега, лежащего на улицах города в момент времени
, тогда математическая модель для нахождения
может иметь вид …Для уборки снега на улицах города используются снегоуборочные машины. Они работают в течение светлого времени суток с 8 до 18 часов
с постоянной скоростью уборки снега 200 
Изменение объема снега, выпадающего на улицы города в городе в течение суток, можно описать уравнением
где
– объем снега (в
), выпавшего за время
(в часах), 
В момент времени
на улицах города лежит 500
снега.
Установите соответствие между временем
и объемом снега, лежащего на улицах города
.
1. Объем снега, лежащего на улицах города в момент времени
часов.
2. Объем снега, лежащего на улицах города в момент времени
часов.
с постоянной скоростью уборки снега 200 
Изменение объема снега, выпадающего на улицы города в городе в течение суток, можно описать уравнением
где
– объем снега (в
), выпавшего за время
(в часах), 
В момент времени
на улицах города лежит 500
снега.Установите соответствие между временем
и объемом снега, лежащего на улицах города
. 1. Объем снега, лежащего на улицах города в момент времени
часов.2. Объем снега, лежащего на улицах города в момент времени
часов.Для уборки снега на улицах города используются снегоуборочные машины. Они работают в течение светлого времени суток с 8 до 18 часов
с постоянной скоростью уборки снега 200 
Изменение объема снега, выпадающего на улицы города в городе в течение суток, можно описать уравнением
где
– объем снега (в
), выпавшего за время
(в часах), 
В момент времени
на улицах города лежит 500
снега.
Пусть снегоуборочные машины не работали в обеденное время (
), тогда объем снега, лежащего на улицах города в конце дня (
ч), будет равен ___
.
с постоянной скоростью уборки снега 200 
Изменение объема снега, выпадающего на улицы города в городе в течение суток, можно описать уравнением
где
– объем снега (в
), выпавшего за время
(в часах), 
В момент времени
на улицах города лежит 500
снега.Пусть снегоуборочные машины не работали в обеденное время (
), тогда объем снега, лежащего на улицах города в конце дня (
ч), будет равен ___
.Общее уравнение плоскости, проходящей через точку
и отсекающей равные отрезки на координатных осях, имеет вид …
и отсекающей равные отрезки на координатных осях, имеет вид …Область определения функции
имеет вид …
имеет вид …Игральная кость бросается два раза. Тогда вероятность того, что сумма выпавших очков – семь, а разность – три, равна …
Из генеральной совокупности извлечена выборка объема
, полигон частот которой имеет вид:

Тогда число вариант
в выборке равно …
, полигон частот которой имеет вид:
Тогда число вариант
в выборке равно …
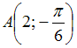
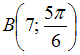
и
. Тогда расстояние между ними равно …
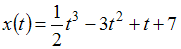
. Тогда ускорение точки в момент времени
равно …
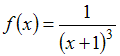
, то коэффициент
разложения данной функции в ряд Маклорена равен …
. Векторы
,
. Тогда вектор
имеет координаты …
функции
имеет вид …
,
,
. Тогда значение выражения
равно …