Математика – страница 141
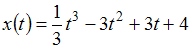
Материальная точка движется прямолинейно по закону
. Тогда ускорение точки равно 4 в момент времени …
. Тогда ускорение точки равно 4 в момент времени …Точечная оценка вероятности биномиально распределенного количественного признака равна 0,38. Тогда его интервальная оценка может иметь вид …
Для контроля уровня снега на горнолыжном склоне используются снегоуборочные машины. Изменение объема снега, выпадающего на склон в течение суток, можно описать уравнением
где
– объем снега (в
), выпавшего на склон за время
(в часах), 
Снегоуборочные машины работают в течение светлого времени суток с 6 до 18 часов
с постоянной скоростью уборки снега 95 
В момент времени
на склоне лежит 100
снега.
Пусть
– объем снега, лежащего на склоне в момент времени
, тогда математическая модель для нахождения
может иметь вид …
где
– объем снега (в
), выпавшего на склон за время
(в часах), 
Снегоуборочные машины работают в течение светлого времени суток с 6 до 18 часов
с постоянной скоростью уборки снега 95 
В момент времени
на склоне лежит 100
снега.Пусть
– объем снега, лежащего на склоне в момент времени
, тогда математическая модель для нахождения
может иметь вид …Для контроля уровня снега на горнолыжном склоне используются снегоуборочные машины. Изменение объема снега, выпадающего на склон в течение суток, можно описать уравнением
где
– объем снега (в
), выпавшего на склон за время
(в часах), 
Снегоуборочные машины работают в течение светлого времени суток с 6 до 18 часов
с постоянной скоростью уборки снега 95 
В момент времени
на склоне лежит 100
снега.
Установите соответствие между временем
и объемом снега, лежащего на склоне
.
1. Объем снега, лежащего на склоне в момент времени
часа.
2. Объем снега, лежащего на склоне в момент времени
часов.
где
– объем снега (в
), выпавшего на склон за время
(в часах), 
Снегоуборочные машины работают в течение светлого времени суток с 6 до 18 часов
с постоянной скоростью уборки снега 95 
В момент времени
на склоне лежит 100
снега.Установите соответствие между временем
и объемом снега, лежащего на склоне
.1. Объем снега, лежащего на склоне в момент времени
часа.2. Объем снега, лежащего на склоне в момент времени
часов.Для контроля уровня снега на горнолыжном склоне используются снегоуборочные машины. Изменение объема снега, выпадающего на склон в течение суток, можно описать уравнением
где
– объем снега (в
), выпавшего на склон за время
(в часах), 
Снегоуборочные машины работают в течение светлого времени суток с 6 до 18 часов
с постоянной скоростью уборки снега 95 
В момент времени
на склоне лежит 100
снега.
Пусть снегоуборочные машины не работали в обеденное время (
), тогда объем снега, лежащего на склоне в конце дня (
ч), равен ___
.
где
– объем снега (в
), выпавшего на склон за время
(в часах), 
Снегоуборочные машины работают в течение светлого времени суток с 6 до 18 часов
с постоянной скоростью уборки снега 95 
В момент времени
на склоне лежит 100
снега.Пусть снегоуборочные машины не работали в обеденное время (
), тогда объем снега, лежащего на склоне в конце дня (
ч), равен ___
.Общее решение системы дифференциальных уравнений
имеет вид …
имеет вид …Сумма числового ряда
равна …
равна …Наладчик обслуживает три станка. Вероятность того, что в течение часа потребует его вмешательства первый станок, равна
; второй –
; третий –
. Тогда вероятность того, что в течение часа потребует вмешательства наладчика хотя бы один станок, равна …
; второй –
; третий –
. Тогда вероятность того, что в течение часа потребует вмешательства наладчика хотя бы один станок, равна …Для дискретной случайной величины
:

функция распределения вероятностей имеет вид:

Тогда значение параметра
может быть равно …
:
функция распределения вероятностей имеет вид:

Тогда значение параметра
может быть равно …Проведено пять измерений (без систематических ошибок) некоторой случайной величины (в мм): 4,5; 5,2; 6,1; 7,8, 8,3. Тогда несмещенная оценка математического ожидания равна …
, то коэффициент
разложения данной функции в ряд Тейлора по степеням
равен …
на вектор
равна …
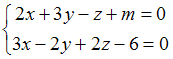
пересекает ось
при значении параметра m, равном …