Математика – страница 138
Для контроля уровня снега на горнолыжном склоне используются снегоуборочные машины. Изменение объема снега, выпадающего на склон в течение суток, можно описать уравнением
где
– объем снега (в
), выпавшего на склон за время
(в часах), 
Снегоуборочные машины работают в течение суток с постоянной скоростью уборки снега 10
В момент времени
на склоне лежит 50
снега.
Установите соответствие между временем
и объемом снега, лежащего на склоне
.
1. Объем снега, лежащего на склоне в момент времени
часов
2. Объем снега, лежащего на склоне в момент времени
часов
где
– объем снега (в
), выпавшего на склон за время
(в часах), 
Снегоуборочные машины работают в течение суток с постоянной скоростью уборки снега 10

В момент времени
на склоне лежит 50
снега.Установите соответствие между временем
и объемом снега, лежащего на склоне
.1. Объем снега, лежащего на склоне в момент времени
часов2. Объем снега, лежащего на склоне в момент времени
часовМатрицы
и
имеют одинаковую размерность. Если
– единичная матрица того же размера, что и матрицы
и
, и матрица
, то верно равенство …
и
имеют одинаковую размерность. Если
– единичная матрица того же размера, что и матрицы
и
, и матрица
, то верно равенство …Решение системы
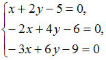
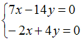
может иметь вид …
может иметь вид …В ортонормированном базисе заданы векторы
и
. Тогда их скалярное произведение будет равно
при
равном …
и
. Тогда их скалярное произведение будет равно
при
равном …На линейном пространстве
задана операция …
задана операция …Общий вид частного решения
линейного неоднородного дифференциального уравнения второго порядка
будет выглядеть как …
линейного неоднородного дифференциального уравнения второго порядка
будет выглядеть как …Область сходимости степенного ряда
имеет вид …
имеет вид …
задана законом распределения вероятностей:
…
…
, заданная уравнением
и плоскость
, заданная уравнением
Тогда прямая
…
равна …