Математика – страница 136
Непрерывная случайная величина
задана функцией распределения вероятностей:

Тогда ее плотность распределения вероятностей имеет вид …
задана функцией распределения вероятностей:
Тогда ее плотность распределения вероятностей имеет вид …
Из генеральной совокупности извлечена выборка объема
:

Тогда несмещенная оценка математического ожидания равна …
:
Тогда несмещенная оценка математического ожидания равна …
Основная гипотеза имеет вид
. Тогда конкурирующей может являться гипотеза …
. Тогда конкурирующей может являться гипотеза …Для уборки снега на улицах города используются снегоуборочные машины. Они работают в течение суток с постоянной скоростью уборки снега 400
.
Изменение объема снега, выпадающего на улицы города в городе в течение суток, можно описать уравнением
где
– объем снега (в
), выпавшего за время
(в часах), 
В момент времени
на улицах города лежит 1000
снега.
Если
– объем снега, лежащего на улицах города в момент времени
, то математическая модель для нахождения
может иметь вид …
.Изменение объема снега, выпадающего на улицы города в городе в течение суток, можно описать уравнением
где
– объем снега (в
), выпавшего за время
(в часах), 
В момент времени
на улицах города лежит 1000
снега.Если
– объем снега, лежащего на улицах города в момент времени
, то математическая модель для нахождения
может иметь вид …Для уборки снега на улицах города используются снегоуборочные машины. Они работают в течение суток с постоянной скоростью уборки снега 400
.
Изменение объема снега, выпадающего на улицы города в городе в течение суток, можно описать уравнением
где
– объем снега (в
), выпавшего за время
(в часах), 
В момент времени
на улицах города лежит 1000
снега.
Установите соответствие между временем
и объемом снега, лежащего на улицах города 
1. Объем снега, лежащего на улицах города в момент времени
часов
2. Объем снега, лежащего на улицах города в момент времени
часов
.Изменение объема снега, выпадающего на улицы города в городе в течение суток, можно описать уравнением
где
– объем снега (в
), выпавшего за время
(в часах), 
В момент времени
на улицах города лежит 1000
снега.Установите соответствие между временем
и объемом снега, лежащего на улицах города 
1. Объем снега, лежащего на улицах города в момент времени
часов2. Объем снега, лежащего на улицах города в момент времени
часовВероятности того, что произвольная деталь окажется бракованной в результате предварительных механической и термической обработки, равны соответственно 0,2 и 0,4. Вероятности того, что этот брак можно устранить путем дополнительной обработки, соответственно равны 0,7 и 0,4.
Если событие А – деталь окажется бракованной в результате предварительной механической обработки, событие В – деталь окажется бракованной в результате предварительной термической обработки, а событие C – деталь после предварительной обработки имеет неустранимый брак, то верным является соотношение …
Если событие А – деталь окажется бракованной в результате предварительной механической обработки, событие В – деталь окажется бракованной в результате предварительной термической обработки, а событие C – деталь после предварительной обработки имеет неустранимый брак, то верным является соотношение …
Горизонтальная асимптота графика функции
задается уравнением вида …
задается уравнением вида …Общее решение дифференциального уравнения
имеет вид …
имеет вид …Из урны, в которой находятся 6 черных, 4 белых и 10 зеленых шаров, вынимают случайным образом один шар. Тогда вероятность того, этот шар будет белым, равна …
Непрерывная случайная величина
задана плотностью распределения вероятностей:

Тогда вероятность
равна …
задана плотностью распределения вероятностей:
Тогда вероятность
равна …Из генеральной совокупности извлечена выборка объема
, полигон частот которой имеет вид:

Тогда значение параметра
равно …
, полигон частот которой имеет вид:
Тогда значение параметра
равно …Выборочное уравнение прямой линии регрессии
на
имеет вид
. Тогда выборочный коэффициент регрессии равен …
на
имеет вид
. Тогда выборочный коэффициент регрессии равен …
,
и
равно …
. Тогда скорость точки в момент времени
равна …
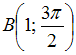
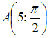
и
. Тогда полярные координаты середины отрезка
равны …