Математика – страница 128
Известно количество завоеванных медалей на летних олимпийских играх в 2008 году:

Вероятность того, что выбранная случайным образом страна выиграла больше 20 золотых медалей, равна …

Вероятность того, что выбранная случайным образом страна выиграла больше 20 золотых медалей, равна …
Вычислили значение функции
при
и
получили результат равный 400.
Известны относительные погрешности чисел 4 и 5:
Тогда относительная погрешность полученного результата равна …
при
и
получили результат равный 400.Известны относительные погрешности чисел 4 и 5:

Тогда относительная погрешность полученного результата равна …
В таблице приведено количество пропущенных занятий в группе студентов по месяцам:

Вероятность того, что выбранный случайным образом студент пропустил в октябре не более 6 часов занятий, равна …

Вероятность того, что выбранный случайным образом студент пропустил в октябре не более 6 часов занятий, равна …
6
…
…Имеются две коробки с лампочками. Вероятность вынуть бракованную лампочку
из первой коробки равна
. Вероятность вынуть бракованную лампочку из второй коробки равна
. Наугад вынимают по одной лампочке из каждой коробки. Вероятность того, что обе лампочки окажутся качественными, равна …
из первой коробки равна
. Вероятность вынуть бракованную лампочку из второй коробки равна
. Наугад вынимают по одной лампочке из каждой коробки. Вероятность того, что обе лампочки окажутся качественными, равна …Вычислили значение функции
при x = 5 и y = 10, получили результат, равный 2500. Известны относительные погрешности чисел 5 и 10:
Тогда относительная погрешность полученного результата равна …
при x = 5 и y = 10, получили результат, равный 2500. Известны относительные погрешности чисел 5 и 10:
Тогда относительная погрешность полученного результата равна …Систему
решают по правилу Крамера.
Установите соответствие между названиями величин и их значениями.
1) Δ x
2) Δ y
3) x
решают по правилу Крамера.Установите соответствие между названиями величин и их значениями.
1) Δ x
2) Δ y
3) x
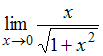
Предел функции
равен …
равен …11
равен …
равен …Вычислили значение функции
при x = 40 и y = 5, получили результат, равный 64. Известны относительные погрешности чисел 40 и 5:
Тогда относительная погрешность полученного результата равна …
при x = 40 и y = 5, получили результат, равный 64. Известны относительные погрешности чисел 40 и 5:
Тогда относительная погрешность полученного результата равна …Вычислили значение функции
при x = 10 и y = 2, получили результат равный 800. Известны относительные погрешности чисел 10 и 2:
Тогда относительная погрешность полученного результата равна …
при x = 10 и y = 2, получили результат равный 800. Известны относительные погрешности чисел 10 и 2:
Тогда относительная погрешность полученного результата равна …Известны результаты экзаменов по трем предметам в группе студентов:

Вероятность того, что выбранный случайным образом студент сдал сессию без двоек, равна …

Вероятность того, что выбранный случайным образом студент сдал сессию без двоек, равна …

и
равна …