Математика – страница 124
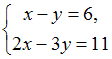
Систему
решают по правилу Крамера.
Установите соответствие между названиями величин и их значениями.
1)
2)
3) x
4) y
решают по правилу Крамера.Установите соответствие между названиями величин и их значениями.
1)

2)

3) x
4) y
Ребро куба
равно 26.

Вершина куба O совпадает с началом координат. Ребра, исходящие из этой вершины, лежат на осях координат, как изображено на рисунке. X − середина ребра
Установите соответствие между точками данного куба и их координатами.
1.
2.
3.
4.
равно 26.
Вершина куба O совпадает с началом координат. Ребра, исходящие из этой вершины, лежат на осях координат, как изображено на рисунке. X − середина ребра
Установите соответствие между точками данного куба и их координатами.1.

2.

3.

4.

Для вычисления объема куба было измерено линейкой его ребро. Оно оказалось равным 10 см. Известно, что погрешность измерения линейкой равна 0,5 см.
Объем куба будет
. Тогда относительная погрешность полученного результата равна …
Объем куба будет
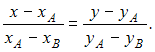
. Тогда относительная погрешность полученного результата равна …Известно, что уравнение прямой, проходящей через две точки A и B, имеет вид
Тогда для точек
и
уравнением прямой является …
Тогда для точек
и
уравнением прямой является …Ребро куба
равно 10.

Вершина куба O совпадает с началом координат. Ребра, исходящие из этой вершины, лежат на осях координат, как изображено на рисунке. X − середина ребра
Установите соответствие между точками данного куба и их координатами.
1.
2.
3.
4.
равно 10.
Вершина куба O совпадает с началом координат. Ребра, исходящие из этой вершины, лежат на осях координат, как изображено на рисунке. X − середина ребра
Установите соответствие между точками данного куба и их координатами.1.

2.

3.

4.

Ребро куба
равно 6.

Вершина куба O совпадает с началом координат. Ребра, исходящие из этой вершины, лежат на осях координат, как изображено на рисунке. X − середина ребра
Установите соответствие между точками данного куба и их координатами.
1.
2.
3.
4.
равно 6.
Вершина куба O совпадает с началом координат. Ребра, исходящие из этой вершины, лежат на осях координат, как изображено на рисунке. X − середина ребра
Установите соответствие между точками данного куба и их координатами.1.

2.

3.

4.

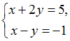
Систему
решают по правилу Крамера.
Установите соответствие между названиями величин и их значениями.
1)
2)
3)
4) y
решают по правилу Крамера.Установите соответствие между названиями величин и их значениями.
1)

2)

3)

4) y
Ребро куба
равно 8.

Вершина куба O совпадает с началом координат. Ребра, исходящие из этой вершины, лежат на осях координат, как изображено на рисунке. X − середина ребра
Установите соответствие между точками данного куба и их координатами.
1.
2.
3.
4.
равно 8.
Вершина куба O совпадает с началом координат. Ребра, исходящие из этой вершины, лежат на осях координат, как изображено на рисунке. X − середина ребра
Установите соответствие между точками данного куба и их координатами.1.

2.

3.

4.

Систему
решают по правилу Крамера.
Установите соответствие между названиями величин и их значениями.
1)
2)
3)
4) x
решают по правилу Крамера.Установите соответствие между названиями величин и их значениями.
1)

2)

3)

4) x
Известно, что уравнение прямой, проходящей через две точки A и B, имеет вид
тогда для точек
и
уравнение прямой может быть записано в виде …
тогда для точек
и
уравнение прямой может быть записано в виде …Известно, что уравнение прямой, проходящей через две точки A и B, имеет вид
Тогда для точек
и
уравнением прямой является …
Тогда для точек
и
уравнением прямой является …Ребро куба
равно 24.

Вершина куба O совпадает с началом координат. Ребра, исходящие из этой вершины, лежат на осях координат, как изображено на рисунке. X − середина ребра
Установите соответствие между точками данного куба и их координатами.
1.
2.
3.
4.
равно 24.
Вершина куба O совпадает с началом координат. Ребра, исходящие из этой вершины, лежат на осях координат, как изображено на рисунке. X − середина ребра
Установите соответствие между точками данного куба и их координатами.1.

2.

3.

4.

и 
равно …
и 
то k равно …
и 
, то k равно …