Математика – страница 123
Дан прямоугольный параллелепипед.

Одна из его вершин совпадает с началом координат.
Ребра, исходящие из этой вершины, лежат на осях координат.
Вершина
имеет координаты 
Установите соответствие между вершинами данного параллелепипеда и их координатами.
1.
2.
3.
4.

Одна из его вершин совпадает с началом координат.
Ребра, исходящие из этой вершины, лежат на осях координат.
Вершина
имеет координаты 
Установите соответствие между вершинами данного параллелепипеда и их координатами.
1.

2.

3.

4.

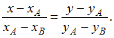
Известно, что уравнение прямой, проходящей через две точки A и B, имеет вид
Тогда для точек
и
уравнение прямой может быть записано в виде …
Тогда для точек
и
уравнение прямой может быть записано в виде …Систему
решают по правилу Крамера.
Установите соответствие между названиями величин и их значениями.
1)
2)
3) x
решают по правилу Крамера.Установите соответствие между названиями величин и их значениями.
1)

2)

3) x
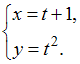
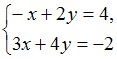
Система линейных уравнений
имеет решение …
имеет решение …Установите соответствие между кривыми второго порядка, изображенными на рисунках, и их названиями.
1.

2.

3.

1.

2.

3.

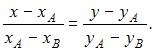
Известно, что уравнение прямой, проходящей через две точки A и B, может быть получено по формуле 
Тогда для точек
и
уравнением прямой является …

Тогда для точек
и
уравнением прямой является …Дан прямоугольный параллелепипед.

Одна из его вершин совпадает с началом координат.
Ребра, исходящие из этой вершины, лежат на осях координат.
Известно, что
Установите соответствие между вершинами данного параллелепипеда и их координатами.
1.
2.
3.
4.

Одна из его вершин совпадает с началом координат.
Ребра, исходящие из этой вершины, лежат на осях координат.
Известно, что

Установите соответствие между вершинами данного параллелепипеда и их координатами.
1.

2.

3.

4.

Если определитель второго порядка
, то х = …
, то х = …
и 
, то k равно …
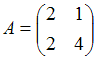
и
. Тогда матрица
равна …
, то
…
и
тогда
…
равно …
и 
равно …