Математика – страница 121
Скорость движения тела задана уравнением
. Тогда путь, пройденный телом за 10 с от начала движения, равен …
. Тогда путь, пройденный телом за 10 с от начала движения, равен …Имеются две коробки с лампочками. Вероятность вынуть бракованную лампочку
из первой коробки равна
. Вероятность вынуть бракованную лампочку из
второй коробки равна
. Наугад вынимают по одной лампочке из каждой
коробки. Вероятность того, что обе лампочки окажутся качественными, равна …
из первой коробки равна
. Вероятность вынуть бракованную лампочку извторой коробки равна
. Наугад вынимают по одной лампочке из каждойкоробки. Вероятность того, что обе лампочки окажутся качественными, равна …
Имеются два пакета семян, имеющих всхожесть
и
соответственно.
Вероятность того, что после посадки всех семян из обоих пакетов не взойдет ни одно семя, равна …
и
соответственно.Вероятность того, что после посадки всех семян из обоих пакетов не взойдет ни одно семя, равна …
Вычислили значение функции
при
и
получили результат, равный 9. Известны относительные погрешности чисел 30 и 10:
Тогда относительная погрешность полученного результата равна …
при
и
получили результат, равный 9. Известны относительные погрешности чисел 30 и 10:
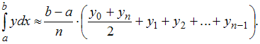
Тогда относительная погрешность полученного результата равна …Для приближенного вычисления определенного интеграла от функции
на интервале
можно воспользоваться формулой трапеций
Интервал
разбили на 4 равные части и вычислили соответствующие приближенные значения функции
. Получили:
, тогда
…
на интервале
можно воспользоваться формулой трапеций
Интервал
разбили на 4 равные части и вычислили соответствующие приближенные значения функции
. Получили:
, тогда
…Некоторая функция
задана в виде таблицы 
Если требуется найти значение производной данной функции в некоторой точке, то можно заменить данную, аналитическая запись которой неизвестна, некоторой другой функцией
для которой
и найти производную функции
Если шаг таблицы h (разность между соседними значениями x) является величиной постоянной, то можно воспользоваться формулой

где
и
Вычисления производите с двумя знаками после запятой. Для заданной в виде таблицы функции
значение
…
задана в виде таблицы 
Если требуется найти значение производной данной функции в некоторой точке, то можно заменить данную, аналитическая запись которой неизвестна, некоторой другой функцией
для которой
и найти производную функции
Если шаг таблицы h (разность между соседними значениями x) является величиной постоянной, то можно воспользоваться формулой
где
и
Вычисления производите с двумя знаками после запятой. Для заданной в виде таблицы функции
значение
…Пароль состоит из 4 букв: м, н, к, л. Каждая буква встречается ровно один раз. Тогда максимальное количество возможных паролей равно …
Пароль состоит из 5 букв: к, л, м, н, о. Каждая буква встречается ровно один раз. Тогда максимальное количество возможных паролей равно …
Вычислили значение функции
при
и
получили
результат, равный
. Известны относительные погрешности чисел 5 и 10:
Тогда относительная погрешность полученного результата равна …
при
и
получилирезультат, равный
. Известны относительные погрешности чисел 5 и 10:
Тогда относительная погрешность полученного результата равна …В первой шкатулке находится 20 монет одинакового достоинства. Известно, что 2 из них являются фальшивыми. Во второй шкатулке 25 монет, из которых 5 монет фальшивые. Из каждой шкатулки наугад берут по одной монете. Вероятность того, что обе монеты окажутся фальшивыми, равна …
При вычислении выражения
данные в условии задачи значения
x = 12,4 и y = 3,1 округлили до целых значений и получили
Тогда абсолютная погрешность полученного результата равна …
данные в условии задачи значенияx = 12,4 и y = 3,1 округлили до целых значений и получили

Тогда абсолютная погрешность полученного результата равна …
и
кратно 4
. Тогда
. Тогда прямое произведение
равно …
и
. Тогда
равно …
и 
