Математика – страница 119
При вычислении выражения
данные в условии задачи значения
и
округлили до 100 и 50 соответственно, подставили в выражение и получили 
Тогда абсолютная погрешность полученного результата равна …
данные в условии задачи значения
и
округлили до 100 и 50 соответственно, подставили в выражение и получили 
Тогда абсолютная погрешность полученного результата равна …
Среди 100 изделий встречается 4 нестандартных. Наугад взятое изделие окажется нестандартным с вероятностью, равной …
Для приближенного решения дифференциального уравнения
с начальным условием
можно воспользоваться методом Эйлера:
Тогда для уравнения
при начальном условии
с шагом
значение
с точностью до сотых равно …
с начальным условием
можно воспользоваться методом Эйлера:
Тогда для уравнения
при начальном условии
с шагом
значение
с точностью до сотых равно …Автомобилю может быть присвоен номер, состоящий из 4 цифр: 2, 4, 6, 8. Цифры в номере повторяться не могут. Тогда максимальное количество автомобилей, которым могут быть присвоены такие номера, равно …
Первый спортсмен попадает в мишень с вероятностью
а второй – с вероятностью
Оба спортсмена стреляют одновременно. Вероятность того, что они оба попадут в мишень, равна …
а второй – с вероятностью
Оба спортсмена стреляют одновременно. Вероятность того, что они оба попадут в мишень, равна …В урне 2 белых, 3 красных и 5 черных шаров. Наугад вынутый шар окажется красным с вероятностью, равной …
Пин−код пластиковой карты состоит из 5 цифр: 1, 2, 3, 4, 5. Если бы каждая цифра встречалась ровно один раз, то максимальное количество карт с такими кодами было бы равно …
Среди 10 изделий встречается 2 нестандартных. Наугад взятое изделие окажется стандартным с вероятностью, равной …
Вычислили значение функции
при
и
получили результат, равный
. Известны относительные погрешности чисел 80 и 4:
Тогда относительная погрешность полученного результата равна …
при
и
получили результат, равный
. Известны относительные погрешности чисел 80 и 4:
Тогда относительная погрешность полученного результата равна …Скорость движения тела задана уравнением
. Тогда путь, пройденный телом за 3 с от начала движения, равен …
. Тогда путь, пройденный телом за 3 с от начала движения, равен …Имеются два ящика с деталями. Вероятность вынуть бракованную деталь из
первого ящика равна
. Вероятность вынуть бракованную деталь из второго
ящика равна
. Наугад вынимают по одной детали из каждого ящика.
Вероятность того, что обе детали окажутся бракованными, равна …
первого ящика равна
. Вероятность вынуть бракованную деталь из второгоящика равна
. Наугад вынимают по одной детали из каждого ящика.Вероятность того, что обе детали окажутся бракованными, равна …
Код замка состоит из 5 цифр: 1, 3, 5, 7, 9. Каждая цифра встречается ровно один раз. Тогда максимальное количество замков с такими кодами равно …
Код замка состоит из 5 цифр: 4, 5, 6, 7, 8. Каждая цифра встречается ровно один раз. Тогда максимальное количество замков с такими кодами равно …
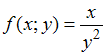
При вычислении выражения
данные в условии задачи значения
x = 16,1 и y = 2,8 округлили до целых значений и получили
Тогда абсолютная погрешность полученного результата равна …
данные в условии задачи значенияx = 16,1 и y = 2,8 округлили до целых значений и получили

Тогда абсолютная погрешность полученного результата равна …
, прямыми
,
и осью абсцисс, равна …