Математика – страница 117
Скорость движения тела задана уравнением
. Тогда путь, пройденный телом за время от второй секунды до четвертой секунды движения, равен …
. Тогда путь, пройденный телом за время от второй секунды до четвертой секунды движения, равен …Скорость движения тела задана уравнением
. Тогда путь, пройденный телом за время от второй секунды до шестой секунды движения, равен …
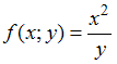
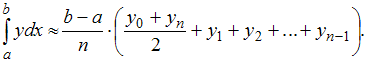
. Тогда путь, пройденный телом за время от второй секунды до шестой секунды движения, равен …Для приближенного вычисления определенного интеграла от функции
на интервале
можно воспользоваться формулой трапеций

Интервал
разбили на 4 равные части и вычислили соответствующие приближенные значения
.
Получили:
.
Тогда
…
на интервале
можно воспользоваться формулой трапеций
Интервал
разбили на 4 равные части и вычислили соответствующие приближенные значения
.Получили:
.Тогда
…В урне 35 белых и 55 черных шаров. Наугад вынутый шар окажется белым с вероятностью, равной …
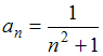
Установите соответствие между общими членами некоторых числовых рядов
и
и их третьими членами.
1.
2.
и
и их третьими членами.
1.

2.

Бросают игральную кость. Число очков, большее 4, выпадет с вероятностью,
равной …
равной …
Скорость движения тела задана уравнением
. Тогда путь, пройденный телом за 4 с от начала движения, равен …
. Тогда путь, пройденный телом за 4 с от начала движения, равен …Для приближенного вычисления определенного интеграла от функции
на интервале
можно воспользоваться формулой трапеций
Интервал
разбили на 4 равные части и вычислили соответствующие приближенные значения
. Получили:
, тогда
…
на интервале
можно воспользоваться формулой трапеций
Интервал
разбили на 4 равные части и вычислили соответствующие приближенные значения
. Получили:
, тогда
…Для вычисления площади стены измерили ее длину и ширину. Получили 603 см и 245 см. Округлив полученные результаты до 600 см и 250 см соответственно, вычислили площадь стены
(кв. см.)
Тогда относительная погрешность полученного результата равна …
(кв. см.)Тогда относительная погрешность полученного результата равна …
В урне находятся 5 одинаковых шаров. Шары имеют номера с первого по пятый. Вероятность того, что случайным образом вынутый шар имеет четный номер, равна …
Пароль состоит из 6 букв: a, b, c, d, i, j. Каждая буква встречается ровно один раз. Тогда максимальное количество возможных паролей равно …
При вычислении выражения
данные в условии задачи значения
x = 10,1 и y = 2,2 округлили до целых значений и получили
Тогда абсолютная погрешность полученного результата равна …
данные в условии задачи значенияx = 10,1 и y = 2,2 округлили до целых значений и получили

Тогда абсолютная погрешность полученного результата равна …
Вычислили значение функции
при
и
получили
результат, равный 5. Известны относительные погрешности чисел 10 и 20:
Тогда относительная погрешность полученного результата равна …
при
и
получилирезультат, равный 5. Известны относительные погрешности чисел 10 и 20:
Тогда относительная погрешность полученного результата равна …Для приближенного решения дифференциального уравнения
с начальным условием
можно воспользоваться методом Эйлера:
.
Тогда для уравнения
при начальном условии
с шагом
и точностью до сотых
равно …
с начальным условием
можно воспользоваться методом Эйлера:
. Тогда для уравнения
при начальном условии
с шагом
и точностью до сотых
равно …Первый спортсмен попадает в мишень с вероятностью
, а второй – с
вероятностью
. Оба спортсмена стреляют одновременно. Вероятность того, что они оба промахнутся, равна …
, а второй – свероятностью
. Оба спортсмена стреляют одновременно. Вероятность того, что они оба промахнутся, равна …