Математика – страница 116
Первый спортсмен попадает в мишень с вероятностью
, а второй – с
вероятностью
. Оба спортсмена стреляют одновременно. Вероятность того, что они оба попадут в мишень, равна …
, а второй – свероятностью
. Оба спортсмена стреляют одновременно. Вероятность того, что они оба попадут в мишень, равна …При вычислении значения выражения
данные в условии задачи значения
и
округлили до 100 и 40 соответственно, подставили в данное выражение и получили: 
Тогда абсолютная погрешность полученного результата равна …
данные в условии задачи значения
и
округлили до 100 и 40 соответственно, подставили в данное выражение и получили: 
Тогда абсолютная погрешность полученного результата равна …
Вычислили значение функции
при
и
получили
результат, равный 2500. Известны относительные погрешности чисел 5 и 10:
Тогда относительная погрешность полученного результата равна …
при
и
получилирезультат, равный 2500. Известны относительные погрешности чисел 5 и 10:
Тогда относительная погрешность полученного результата равна …Для исследования вопроса о сходимости числового ряда
используется необходимый признак сходимости числового ряда
Тогда могут сходиться ряды …
используется необходимый признак сходимости числового ряда
Тогда могут сходиться ряды …Для приближенного вычисления значения функции y(x) в точке 
можно использовать приближенную формулу
где
приращение функции в точке 
Функция y(x) определяется из условия задачи.
Значения
и
выбираются так, чтобы можно было вычислить 
и при этом
, взятое по модулю, было бы как можно меньше.
Тогда приближенное значение выражения
равно …

можно использовать приближенную формулу

где
приращение функции в точке 
Функция y(x) определяется из условия задачи.
Значения
и
выбираются так, чтобы можно было вычислить 
и при этом
, взятое по модулю, было бы как можно меньше.Тогда приближенное значение выражения
равно …Вычислили значение функции
при
и
получили
результат, равный 25. Известны относительные погрешности чисел 100 и 2:
Тогда относительная погрешность полученного результата равна …
при
и
получилирезультат, равный 25. Известны относительные погрешности чисел 100 и 2:
Тогда относительная погрешность полученного результата равна …При вычислении выражения
данные в условии задачи значения
и
округлили до целых значений и получили 
Тогда абсолютная погрешность полученного результата равна …
данные в условии задачи значения
и
округлили до целых значений и получили 
Тогда абсолютная погрешность полученного результата равна …
Пароль состоит из 6 букв слова «угадай». Каждая буква может встречаться ровно один раз. Тогда максимальное количество возможных паролей равно …
Среди 50 изделий встречается 2 нестандартных. Наугад взятое изделие окажется нестандартным с вероятностью, равной …
В урне 18 шаров, имеющих номера: 1, 2, …, 18. Наугад вынутый шар в своем номере имеет цифру 3 с вероятностью, равной …
Пин-код пластиковой карты состоит из 5 цифр: 9, 8, 7, 6, 5. Если бы каждая цифра встречалась ровно один раз, то максимальное количество карт с такими кодами было бы равно …
Вычислили значение функции
при
и
получили
результат равный 800. Известны относительные погрешности чисел 10 и 2:
Тогда относительная погрешность полученного результата равна …
при
и
получилирезультат равный 800. Известны относительные погрешности чисел 10 и 2:
Тогда относительная погрешность полученного результата равна …Вычислили значение функции
при
и
получили результат равный 5.
Известны относительные погрешности чисел 10 и 20:
Тогда относительная погрешность полученного результата равна …
при
и
получили результат равный 5.Известны относительные погрешности чисел 10 и 20:

Тогда относительная погрешность полученного результата равна …
Для приближенного решения дифференциального уравнения 
с начальным условием
можно воспользоваться методом Эйлера:
.
Тогда для уравнения
при начальном условии
с шагом
h = 0,1 значение
с точностью до десятых равно …

с начальным условием
можно воспользоваться методом Эйлера:
. Тогда для уравнения
при начальном условии
с шагомh = 0,1 значение
с точностью до десятых равно …
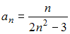
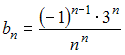
и
и их третьими членами.
