Математика – страница 110
Математическое ожидание М(Х) случайной величины, имеющей закон распределения вероятностей
, равно …
, равно …Имеются два ящика с деталями. Вероятность вынуть бракованную деталь из
первого ящика равна
а из второго –
. Наугад вынимают по одной детали из каждого ящика. Вероятность того, что обе детали окажутся бракованными, равна …
первого ящика равна
а из второго –
. Наугад вынимают по одной детали из каждого ящика. Вероятность того, что обе детали окажутся бракованными, равна …Для вычисления по формуле значения функции
при
был получен результат
. Известно, что относительные погрешности чисел 10 и 20 равны соответственно
Тогда относительная погрешность полученного результата равна …
при
был получен результат
. Известно, что относительные погрешности чисел 10 и 20 равны соответственно
Тогда относительная погрешность полученного результата равна …При вычислении значения выражения
данные в условии задачи значения
и
округлили до целых и получили:
Тогда абсолютная погрешность полученного результата равна …
данные в условии задачи значения
и
округлили до целых и получили:
Тогда абсолютная погрешность полученного результата равна …Для приближенного вычисления определенного интеграла от функции
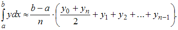
на интервале
можно воспользоваться формулой трапеций
Интервал
разбили на 4 равные части и вычислили соответствующие приближенные значения функции
. Получили:
, тогда
…
на интервале
можно воспользоваться формулой трапеций
Интервал
разбили на 4 равные части и вычислили соответствующие приближенные значения функции
. Получили:
, тогда
…Некоторая функция
задана в виде таблицы

Если требуется найти значение производной данной функции
в некоторой точке то можно заменить данную функцию, аналитическая запись которой неизвестна, некоторой другой функцией
, для которой
, и найти производную функции
.
Если шаг таблицы h (разность между соседними значениями x)
постоянен, то можно воспользоваться формулой
,
где
и
. Вычисления производите с двумя знаками после запятой. Для заданной в виде таблицы функции
значение
…
задана в виде таблицы
Если требуется найти значение производной данной функции
в некоторой точке то можно заменить данную функцию, аналитическая запись которой неизвестна, некоторой другой функцией
, для которой
, и найти производную функции
.Если шаг таблицы h (разность между соседними значениями x)
постоянен, то можно воспользоваться формулой
,где
и
. Вычисления производите с двумя знаками после запятой. Для заданной в виде таблицы функции
значение
…Для приближенного решения дифференциального уравнения 
с начальным условием
можно воспользоваться методом Эйлера:
.
Тогда для уравнения
при начальном условии
с шагом
h = 0,1 и точностью до сотых
равно …

с начальным условием
можно воспользоваться методом Эйлера:
.Тогда для уравнения
при начальном условии
с шагомh = 0,1 и точностью до сотых
равно …Для приближенного вычисления значения функции y(x) в точке
можно использовать формулу:
где
приращение функции в точке
Функция y(x) определяется из условия задачи. Значения
и
выбираются так, чтобы можно было вычислить
и при этом
, взятое по модулю, было бы как можно меньше.
Тогда наилучшее приближенное значение выражения
равно …
можно использовать формулу:
где
приращение функции в точке
Функция y(x) определяется из условия задачи. Значения
и
выбираются так, чтобы можно было вычислить
и при этом
, взятое по модулю, было бы как можно меньше.Тогда наилучшее приближенное значение выражения
равно …Производная функции
равна …
равна …
, равен …
равно …
. Конечная разность
равна …
на отрезке
, то
принимает значение, равное …
точка минимума
принимает значение, равное …