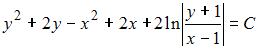
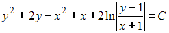
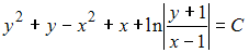
Общий интеграл дифференциального уравнения Изображение вопроса Общий интеграл дифференциального уравнения  при  и... при Изображение вопроса Общий интеграл дифференциального уравнения  при  и... имеет вид …
• 
• 
• 
• 
Тема: Дифференциальные уравнения с разделяющимися переменными
Предмет: Математика