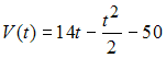
Для контроля уровня снега на горнолыжном склоне используются снегоуборочные машины. Изменение объема снега, выпадающего на склон в течение суток, можно описать уравнением
где
– объем снега (в
), выпавшего на склон за время
(в часах), 
Снегоуборочные машины работают в течение суток с постоянной скоростью уборки снега 10
В момент времени
на склоне лежит 50
снега.
Если
– объем снега, лежащего на склоне в момент времени
, то математическая модель для нахождения
может иметь вид …
где
– объем снега (в
), выпавшего на склон за время
(в часах), 
Снегоуборочные машины работают в течение суток с постоянной скоростью уборки снега 10

В момент времени
на склоне лежит 50
снега.Если
– объем снега, лежащего на склоне в момент времени
, то математическая модель для нахождения
может иметь вид …• 

• 

• 

• 
