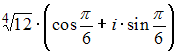
Если Изображение вопроса Если , то все значения квадратного корня из  равны..., то все значения квадратного корня из Изображение вопроса Если , то все значения квадратного корня из  равны... равны …
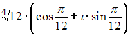
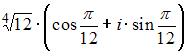
• ;   
• ;   
• ;   
• ;   
Тема: Операции над комплексными числами
Предмет: Математика