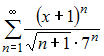
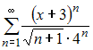
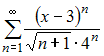
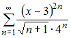
Интервал сходимости имеет вид Изображение вопроса Интервал сходимости имеет вид  для степенного ряда... для степенного ряда …
• 
• 
• 
• 
Тема: Область сходимости степенного ряда
Предмет: Математика