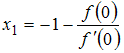
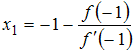
Уравнение
решается методом касательных (Ньютона). Корень принадлежит интервалу
Тогда первое приближение x1 к точному корню x* будет вычисляться по формуле …
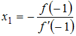
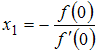
решается методом касательных (Ньютона). Корень принадлежит интервалу
Тогда первое приближение x1 к точному корню x* будет вычисляться по формуле …• 

• 

• 

• 
