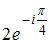
Комплексное число задано в тригонометрической форме
Тогда показательная форма записи сопряженного к нему числа
имеет вид …
Тогда показательная форма записи сопряженного к нему числа
имеет вид …• 

• 

• 

• 

Тогда показательная форма записи сопряженного к нему числа
имеет вид …


