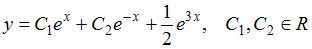
Общее решение линейного неоднородного дифференциального уравнения  Изображение вопроса Общее решение линейного неоднородного дифференциал...  имеет вид…
• ,  
• 
• 
• 
Тема: Линейные дифференциальные уравнения с постоянными коэффициентами (порядка выше второго)
Предмет: Математика