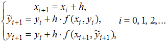
На рисунке

изображена геометрическая интерпретация первого шага численного метода решения задачи Коши
соответствующего формулам …

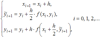
изображена геометрическая интерпретация первого шага численного метода решения задачи Коши
соответствующего формулам …• 

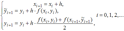
• 

• 

• 
