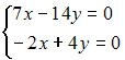
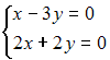
Единственное решение имеет однородная система линейных алгебраических уравнений …
• 
• 
• 
• 
Тема: Линейная алгебра и геометрия
Предмет: Математика