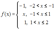
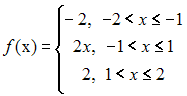
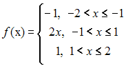
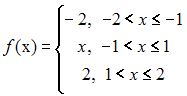
На рисунке изображен график периодической функции Изображение вопроса На рисунке изображен график периодической функции ....
Изображение вопроса На рисунке изображен график периодической функции ...
Тогда ее аналитическое представление на промежутке Изображение вопроса На рисунке изображен график периодической функции ... имеет вид …
• 
• 
• 
• 
Тема: Элементы гармонического анализа
Предмет: Математика