Если нечетная функция
на отрезке
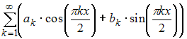
удовлетворяет условиям теоремы Дирихле, то на этом отрезке она может быть представлена рядом Фурье вида …
на отрезке
удовлетворяет условиям теоремы Дирихле, то на этом отрезке она может быть представлена рядом Фурье вида …• 

• 

• 

• 
