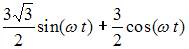
Гармоническое колебание Изображение вопроса Гармоническое колебание  можно представить в виде ... можно представить в виде …
• 
• 
• 
• 
Тема: Гармонические колебания
Предмет: Математика