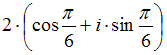
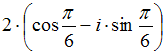
Тригонометрическая форма записи комплексного числа Изображение вопроса Тригонометрическая форма записи комплексного числа... имеет вид …
• 
• 
• 
• 
Тема: Комплексные числа и их представление
Предмет: Математика