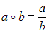
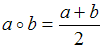
На множестве натуральных чисел N определены операции …
• 
• 
• 
• 
Предмет: Математика