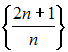
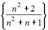
Бесконечно малой числовой последовательностью, из предложенных  Изображение вопроса Бесконечно малой числовой последовательностью, из ..., Изображение вопроса Бесконечно малой числовой последовательностью, из ..., Изображение вопроса Бесконечно малой числовой последовательностью, из ..., Изображение вопроса Бесконечно малой числовой последовательностью, из ..., является …
• 
• 
• 
• 
Тема: Числовые последовательности
Предмет: Математика