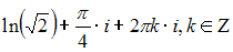
Если Изображение вопроса Если , то логарифм  равен …..., то логарифм Изображение вопроса Если , то логарифм  равен …... равен …
• 
• 
• 
• 
Тема: Определение функции комплексного переменного
Предмет: Математика