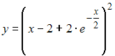
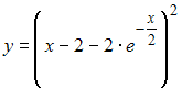
Не нулевое решение задачи Коши Изображение вопроса Не нулевое решение задачи Коши ,  имеет вид …..., Изображение вопроса Не нулевое решение задачи Коши ,  имеет вид …... имеет вид …
• 
• 
• 
• 
Тема: Задача Коши для дифференциального уравнения первого порядка
Предмет: Математика