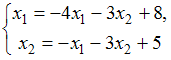
Систему
путем тождественных преобразований привели к виду, удобному для итераций, так, чтобы метод простой итерации сходился. Тогда система, эквивалентная данной имеет вид …
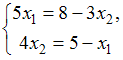
путем тождественных преобразований привели к виду, удобному для итераций, так, чтобы метод простой итерации сходился. Тогда система, эквивалентная данной имеет вид …• 

• 

• 

• 
