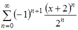
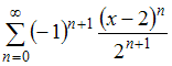
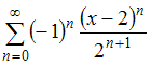
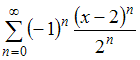
Разложение в ряд Тейлора функции Изображение вопроса Разложение в ряд Тейлора функции  в окрестности то... в окрестности точки Изображение вопроса Разложение в ряд Тейлора функции  в окрестности то... имеет вид …
• 
• 
• 
• 
Тема: Ряд Тейлора (Маклорена)
Предмет: Математика