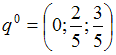
Для решения матричной игры
получено следующее решение соответствующей задачи линейного программирования:
,
. Тогда соответствующие смешанные стратегии будут иметь вид …
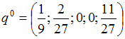
получено следующее решение соответствующей задачи линейного программирования:
,
. Тогда соответствующие смешанные стратегии будут иметь вид …•
, 
, 
•
, 
, 
•
, 
, 
•
, 
, 