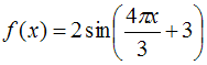
Гармонические колебания с амплитудой равной  2, частотой равной  3 и начальной фазой Изображение вопроса Гармонические колебания с амплитудой равной  2, ча..., описываются законом …
• 
• 
• 
• 
Тема: Гармонические колебания
Предмет: Математика