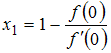
Уравнение
решается методом касательных (Ньютона). Корень принадлежит интервалу (0;1). Тогда первое приближение
к точному корню x* будет вычисляться по формуле …
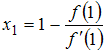
решается методом касательных (Ньютона). Корень принадлежит интервалу (0;1). Тогда первое приближение
к точному корню x* будет вычисляться по формуле …• 

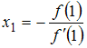
• 

• 

• 
