Обувная фабрика специализируется по выпуску изделий двух видов: сапог и ботинок. При этом используется сырье двух типов:
и
. Нормы расхода каждого из них на одну пару обуви и объем расхода сырья на 1 день заданы таблицей:

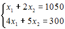
Пусть ежедневный объем выпуска сапог и ботинок составляет
и
соответственно, тогда математическая модель для нахождения ежедневного выпуска каждого вида обуви может иметь вид …
и
. Нормы расхода каждого из них на одну пару обуви и объем расхода сырья на 1 день заданы таблицей:
Пусть ежедневный объем выпуска сапог и ботинок составляет
и
соответственно, тогда математическая модель для нахождения ежедневного выпуска каждого вида обуви может иметь вид …• 

• 

• 

• 
