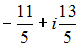
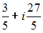
Если Изображение вопроса Если ,  и , то выражение  равно …..., Изображение вопроса Если ,  и , то выражение  равно …... и Изображение вопроса Если ,  и , то выражение  равно …..., то выражение Изображение вопроса Если ,  и , то выражение  равно …... равно …
• 
• 
• 
• 
Тема: Операции над комплексными числами
Предмет: Математика