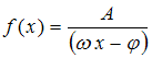
Гармонические колебания с амплитудой А, частотой Изображение вопроса Гармонические колебания с амплитудой А, частотой  ... и начальной фазой Изображение вопроса Гармонические колебания с амплитудой А, частотой  ... описываются законом …
• 
• 
• 
• 
Тема: Гармонические колебания
Предмет: Математика