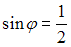
В полярных координатах уравнение луча, проходящего через полюс под углом Изображение вопроса В полярных координатах уравнение луча, проходящего...  к полярной оси, имеет вид …
• 
• 
• 
• 
Тема: Полярные координаты на плоскости
Предмет: Математика