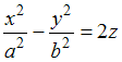
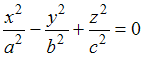
Установите соответствие между изображением поверхности и ее каноническим уравнением.
1.
Изображение вопроса Установите соответствие между изображением поверхн...
2.
Изображение вопроса Установите соответствие между изображением поверхн...
3.
Изображение вопроса Установите соответствие между изображением поверхн...
• 
• 
• 
• 
Предмет: Математика