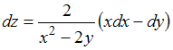
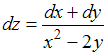
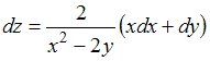
Полный дифференциал функции Изображение вопроса Полный дифференциал функции  равен …... равен …
• 
• 
• 
• 
Тема: Полный дифференциал ФНП
Предмет: Математика