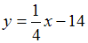
К кривой
проведена нормаль, параллельная прямой
. Тогда уравнение нормали имеет вид …
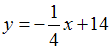
проведена нормаль, параллельная прямой
. Тогда уравнение нормали имеет вид …• 

• 

• 

• 

проведена нормаль, параллельная прямой
. Тогда уравнение нормали имеет вид …


