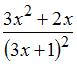
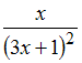
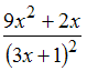
Производная функции Изображение вопроса Производная функции  равна …... равна …
• 
• 
• 
• 
Тема: Производная
Предмет: Математика