Кейс-задания: Кейс 2 подзадача 1
В городском парке установлены две осветительные установки A и B, расположенные на расстоянии d = 140 метров друг от друга.
Устройство этих установок таково, что наилучшая освещенность на поверхности парка достигается в точках, отстоящих в
раза дальше от установки A, чем от установки B. Через все такие точки проложили пешеходную дорожку.
Если ввести систему координат так, чтобы начало координат совпадало с расположением установки A, а ось ОХ была направлена в сторону установки B (см. рисунок), то уравнение линии, на которой расположены все такие точки, может быть записано в виде …

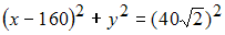
В городском парке установлены две осветительные установки A и B, расположенные на расстоянии d = 140 метров друг от друга.
Устройство этих установок таково, что наилучшая освещенность на поверхности парка достигается в точках, отстоящих в
раза дальше от установки A, чем от установки B. Через все такие точки проложили пешеходную дорожку.Если ввести систему координат так, чтобы начало координат совпадало с расположением установки A, а ось ОХ была направлена в сторону установки B (см. рисунок), то уравнение линии, на которой расположены все такие точки, может быть записано в виде …

• 

• 

• 

• 
