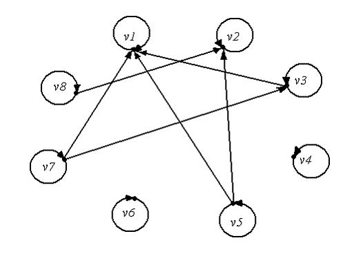
Бинарному отношению кратности элементов, заданному на множестве чисел Изображение вопроса Бинарному отношению кратности элементов, заданному... соответствует орграф…
• 
• 
• 
• 
Тема: Отношения между множествами
Предмет: Математика