В треугольнике с вершинами
,
и
проведена биссектриса
. Тогда координаты точки
равны …
,
и
проведена биссектриса
. Тогда координаты точки
равны …•
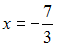
, 
, 
•
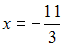
, 
, 
•
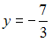
, 
, 
•
, 
, 
,
и
проведена биссектриса
. Тогда координаты точки
равны …
, 
, 
, 
, 